Blog creado por el Prof. Jorge A. Carrillo (1951-2025). Sus comentarios ya no podrán ser respondidos, pero pueden seguir usando el sitio. Bendiciones.

Compartir

miércoles, 30 de noviembre de 2022

Problemas resueltos por ecuaciones simultáneas.

 Ejemplo.  

La diferencia de dos números es 14, y 1/4 de su suma es 13.  Hallar los números.

Datos:

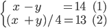
x = el número mayor    ;     y = el número menor

(x+y)/4 = la cuarta parte de la suma.

Formamos un sistema de 2 ecuaciones con 2 incógnitas:



Quitamos denominadores y sumamos:






Sustituimos el valor de "x" en (1)

x -y = 14

33 -y = 14

-y = 14-33

y = 19

Solución: los números son  33 y 19.

_____________________________

Ejercicio 193.

Resolver los problemas utilizando ecuaciones simultáneas.

1) La diferencia de dos números es 40 y 1/8 de su suma es 11.  Halar los números.

Datos:

x = número mayor  ;  y = número menor   ;  (x+y)/8 = octava parte de la suma.

   

Sustituyendo el valor de "x" en (1):
x -y = 40
64 -y = 40
-y =40 -64
-y = -24
y = 24
Solución: los números son:  64 y 24.
_____________________________
2) La suma de dos números es 190 y 1/9 de su diferencia es 2.  Hallar los números.
Datos:  x = número mayor   ;  y = número menor ;  
x+y = suma    ;     (x-y)/9 Novena parte de diferencia.
Sustituyendo el valor de "x" en (1)
x +y = 190
104 +y = 190
y = 190-104
y =  86
Solución: los números son:  104 y 86.
 ______________________________
3) La suma de dos números es 1529 y su diferencia 101.  Hallar los números.
Datos:  x= número mayor   ;   y = número menor
x +y = suma   ;   x -y = diferencia.



Sustituyendo el valor de "x" en (1):
x +y = 1529
714 +y = 1529
y = 1529-815
y = 714
Solución: los números son 815 y 714
_____________________________
4) Un cuarto de la suma de dos números es 45 y un tercio de su diferencia es 4. Hallar los números.
Datos:  x = número mayor   ;   y = número menor
(x +y)/4 = Un cuarto de la suma  ;   (x -y)/3 = un tercio de la diferencia. 


Sustituyendo el valor de "x" en (1)
(x +y)/4 = 45
(96+y)/4=45
96+y =45(4)
y = 180-96
y = 84
Solución: los números son:  96 y 84
________________________________
5) Los 2/3 de la suma de dos números es 74 y los 3/5 de su diferencia 9.  Hallar los números.
Datos:  x = número mayor;     y = número menor;
2(x+y) /3 = 2/3 de la suma;      3(x-y) /5 = 3/5 de la diferencia.
 



Sustituyendo "x" en (2)
3x -3y = 45
3(63) -3y = 45
189 -3y = 45
-y = 45 -189 /-3
-y = -144/3
y = 48
Solución: los números son 63 y 48.
 ______________________________
6) Los 3/10 de la suma de dos números exceden en 6 a 39 y los 5/6 de su diferencia son 1 menos que 26.  Hallar los números. 
Datos: x = número mayor   ;   y = número menor .
 





Sustituyendo "x" en (1)

3x +3y = 450

3(90) +3y = 450
270 +3y = 450
y = 450-270 /3
y = 180/3
y = 60

Solución: los números son:  90  y  60.
________________________________

No hay comentarios.:

Publicar un comentario

Sugiere, solicita o comenta. Es muy importante.