Ejemplo.
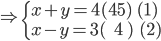
6 lbs. café y 5 bls. de azúcar constaron $2.27, y 5 lbs. de café y 4 lbs. de azúcar, a los mismos precios, costaron $1.88. Hallar el precio de una libra de café y una de azúcar.
Datos:
x= precio de 1 lb. de café en cts. ; y= precio de una libra de azúcar en cts.
$2.27 = 227 cts. y $1.88 = 188 cts.
6x +5y = 227 y 5x+4y = 188
Sustituyendo "y" en (1):
6x +5y = 227
6x +5(7) = 227
6x +35 = 227
x = 227-35 / 6
x = 32
Solución: La libra de café costó 32 cts., y la libra de azúcar costó 7 cts.
_____________________________
Ejercicio 194.
Resolver los siguientes problemas utilizando ecuaciones simultáneas.
1) 5 trajes y 3 sombreros cuestan 4180 soles, y 8 trajes y 9 sombreros 6940. Hallar el precio de un traje y de un sombrero.
Datos: Trajes = x ; Sombreros = y.
Sustituyendo "x" en (1):
5x +3y = 4180
5(800) +3y = 4180
4000 +3y = 4180
y = 4180-4000 /3
y = 60
Solución: Un traje cuesta 800 Soles y un sombrero 60 Soles.
________________________________
2) Un hacendado compró 4 vacas y 7 caballos por $514 y más tarde, a los mismos precios, compró 8 vacas y 9 caballos por $818. Hallar el costo de una vaca y de un caballo.
Datos: x= vacas ; y= caballos.
Sustituyendo "x" en (1):
4x +7y = 514
4(55) +7y = 514
220 +7y = 514
y = 514-200 /7
y = 42
Solución: Una vaca cuesta $55 y un caballo cuesta $42.
_______________________________
3) En un cine, 10 entradas de adulto y 9 de niño cuestan $5.12, y 17 de niño y 15 de adulto $ 8.31. Hallar el precio de una entrada de niño y una entrada de adulto.
x = entrada de adulto ; y = entrada de niño.
Sustituyendo "x" en (1)
10x +9y = 5.12
10(0.35) +9y = 5.12
3.5 +9y = 5.12
y = 5.12 -3.5 /9
y = 1.62/9
y = 0.18 $
Solución: Las entradas de adulto costaron $0.35 = 35 cts. y las de niño $0.18 = 18 cts.
__________________________________
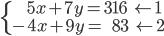
4) Si a 5 veces el mayor de dos números se añade y 7 veces el menor, la suma es 316, y si a 9 veces el menor se resta el cuádruple del mayor, la diferencia es 83. Hallar los números.
Datos: x = número mayor : y = número menor.
Sustituyendo "y" en (1):
5x +7y = 316
5x +7(23) = 316
5x +161 = 316
x = 316-161 /5
x = 31
Solución: Los números son 31 y 23.
____________________________________
5) Los 3/7 de la edad de A aumentados en los 3/8 de la edad de B suman 15 años, y los 2/3 de la edad de A disminuidos en los 3/4 de la edad de B equivalen a 2 años. Hallar ambas edades.
Datos: A= x ; B= y
Sustituyendo "x" en (1):
3/7x +3/8y = 15
3/7(21) +3/8y = 15
9 +3/8y = 15
y = 15-9 ÷ 3/8
y = 6 ÷ 3/8
y = 16
Solución: La edad de A es 21 años y la edad de B es 16 años.
____________________________________
6) El doble de la edad de A excede en 50 años a la edad de B, y 1/4 de la edad de B es 35 años menos que la edad de A. Hallar ambas edades.
A = x ; B = y.
Sustituyendo "y" en (1):
2x -y = 50
2x -40 = 50
x = 50+40 /2
x = 90/2
x = 45
Solución: Edad de A = 45 y edad de B= 40.
____________________________________
.png)
.png)







