Blog creado por el Prof. Jorge A. Carrillo (1951-2025). Sus comentarios ya no podrán ser respondidos, pero pueden seguir usando el sitio. Bendiciones.

Compartir

martes, 8 de febrero de 2022

Simplificación de fracciones complejas. Ejercicio 138.

Simplificación de fracciones complejas, casos mas complicados.

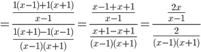
Recuerda primero resolver lo que está en el numerador y luego lo que está en el denominador; luego efectuar la división de los resultados y simplificar para obtener el resultado final.

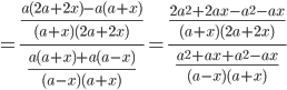
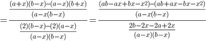
En las operaciones y simplificaciones, pueden haber casos en los que hay que aplicar la "descomposición factorial" .

Ejemplos: 




Efectuando operaciones y simplificando el numerador y el denominador:



Dividiendo el numerador y el denominador de la nueva fracción:













____________________________________

Ejercicio 138.











_____________________________________











*


* El factor 3x²+5x-2, se resolverá como (agrupación de términos)





______________________________________



 



_________________________________






______________________________________





______________________________________








_______________________________________







_____________________________________












_________________________________________







_______________________________________






____________________________________