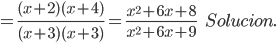
Ejemplo:
Simplificar
_______________________________________
Ejercicio 136.
Simplificar:
______________________________________
________________________________________



_______________________________________
________________________________________
Ejercicios desarrollados paso a paso de problemas que no están resueltos en el libro.
Ejemplo:
Simplificar
_______________________________________
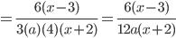
Ejercicio 136.
Simplificar:
Procedimiento:
1. Efectuar las operaciones indicadas dentro de los paréntesis.
2. Simplificar y convertir la división en multiplicación.
3. Operar y simplificar.
_______________________________________
Ejemplo.
Simplificar
Efectuar las operaciones que están dentro de los paréntesis: