Blog creado por el Prof. Jorge A. Carrillo (1951-2025). Sus comentarios ya no podrán ser respondidos, pero pueden seguir usando el sitio. Bendiciones.

Compartir

sábado, 19 de febrero de 2022

Miscelánea sobre fracciones.

En este ejercicio se aplicará lo aprendido sobre las operaciones con fracciones, tales como; suma, resta, multiplicación, división, fracciones complejas. 

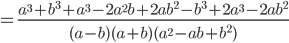
Ejercicio 140.

Simplificar:

 




___________________________________







____________________________________






_____________________________________







______________________________________







______________________________________






_____________________________________

Descomponer la expresión siguiente en la suma o resta de tres fracciones simples irreducibles:





_____________________________________


_____________________________________

Simplificar:







_________________________________







__________________________________










___________________________________









__________________________________















__________________________________