Igual que el ejercicio 31, se suprimen los signos de agrupación y se reducen los términos semejantes.
Para suprimir signos de agrupación se debe empezar por los que están más internos o más dentro de los otros.
Cuando se suprimen signos de agrupación que están antecedidos del signo ( - ), se le cambia el signo a los números que están agrupados.
Ejemplos:
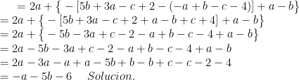
a) Simplificar la expresión 
Se suprimió el signo de vínculo ( ⁻⁻⁻ )
Se suprimieron los paréntesis.
Se suprimieron los corchetes.
Se suprimieron las llaves.
> Reduciendo términos semejantes:
Solución._______________________________________
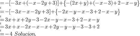
b) Simplificar la expresión: 
Suprimidos los paréntesis.
Suprimidos corchetes internos.
Suprimidas las llaves.
Suprimidos corchetes externos.
> Reduciendo los términos semejantes:
Solución._________________________________________
Ejercicio 32.
Simplificar, suprimiendo los signos de agrupación y reduciendo términos semejantes:
______________________________________
______________________________________
______________________________________
________________________________________
